6) Energie stockée dans un condensateur
Un condensateur chargé constitue un réservoir d'énergie. Cette énergie peut être restituée dans un circuit (ex:principe du flash).La valeur de...
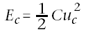
Un condensateur chargé constitue un réservoir d'énergie. Cette énergie peut être restituée dans un circuit (ex:principe du flash).
La valeur de l'énergie potentielle électrostatique stockée par un condensateur est :
L'énergie de ce condensateur est en Joule
Articles en rapport
-
L'organisation des pouvoirs dans la SA.
Il existe 2 formules pour gérer une SA. la gestion de type classique. Les actionnaires nomment un conseil d'administration qui...
-
La réunion des apports dans le capital social.
Le jour de sa constitution, la société possède uniquement le capital social, et encore ce capital social est amputé des frais...
-
L'insertion des textes communautaire dans les ordres juridiques nationaux
1 les oppositions théoriques.Celles ci concernent essentiellement les oppositions entre les théories dites « dualistes » et...
-
Charge d'un condensateur à courant constant
En observant la charge du condensateur à courant constant on observe une fonction linéaire du type U = Kt où k est une...
-
Charge et décharge d'un condensateur
Pour étudier la charge et la décharge d'un condensateur on utilise un montage RC que l'on observe à l'oscilloscope.1)...

